Derivatives of Equations

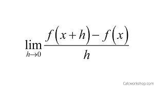
The formal definition of a derivative
The formal definition of a derivative, which will be replaced with simpler terms later.

Deriving Equations!

Mathematically, a derivative of a function is the function of the slope of the original function. As an easy to follow example, the derivative of a parabola, since the slope of its maximum/minimum is 0, would be 0 at the x value of its minimum/maximum. You will be introduced to derivatives via the formal definition of a derivative shown in the picture above. Essentially, you are doing one huge algebra problem which will give you the derivative of the function you put in. While you could keep using this formula for the rest of your career in mathematics, it is much easier to use the shortcuts and rules found in the next paragraph.

The single most helpful shortcut for deriving equations is the power rule. Essentially, instead of using the formal definition, you can do find each term and apply the power rule separately. To apply the power rule, subtract one to the exponent, and multiply that to the coefficient. For example, for the function x^2, the derivative would be 2x. It should be a priority to learn the power rule, because it will greatly reduce the time you have to waste on employing the formal definition. Beyond the power rule, there are several other rules, but they are easy to understand on your own once you master the power rule.